En caso de (switch)
La estructura de decisión switch
es una estructura de control que permite evaluar una expresión y ejecutar un bloque de código dependiendo del valor de la expresión. La estructura switch
en pseudocódigo es la siguiente:
Como se puede observar, la estructura switch
consta de varios bloques de código, cada uno asociado a un valor específico de la expresión. Si el valor de la expresión coincide con alguno de los valores especificados, se ejecuta el bloque de código correspondiente. Si no se encuentra un valor coincidente, se ejecuta el bloque de código asociado a Otro Caso
.
Es importante tener en cuenta que la estructura switch
no permite evaluar expresiones complejas, como rangos de valores o expresiones booleanas. Solo se pueden evaluar valores concretos.
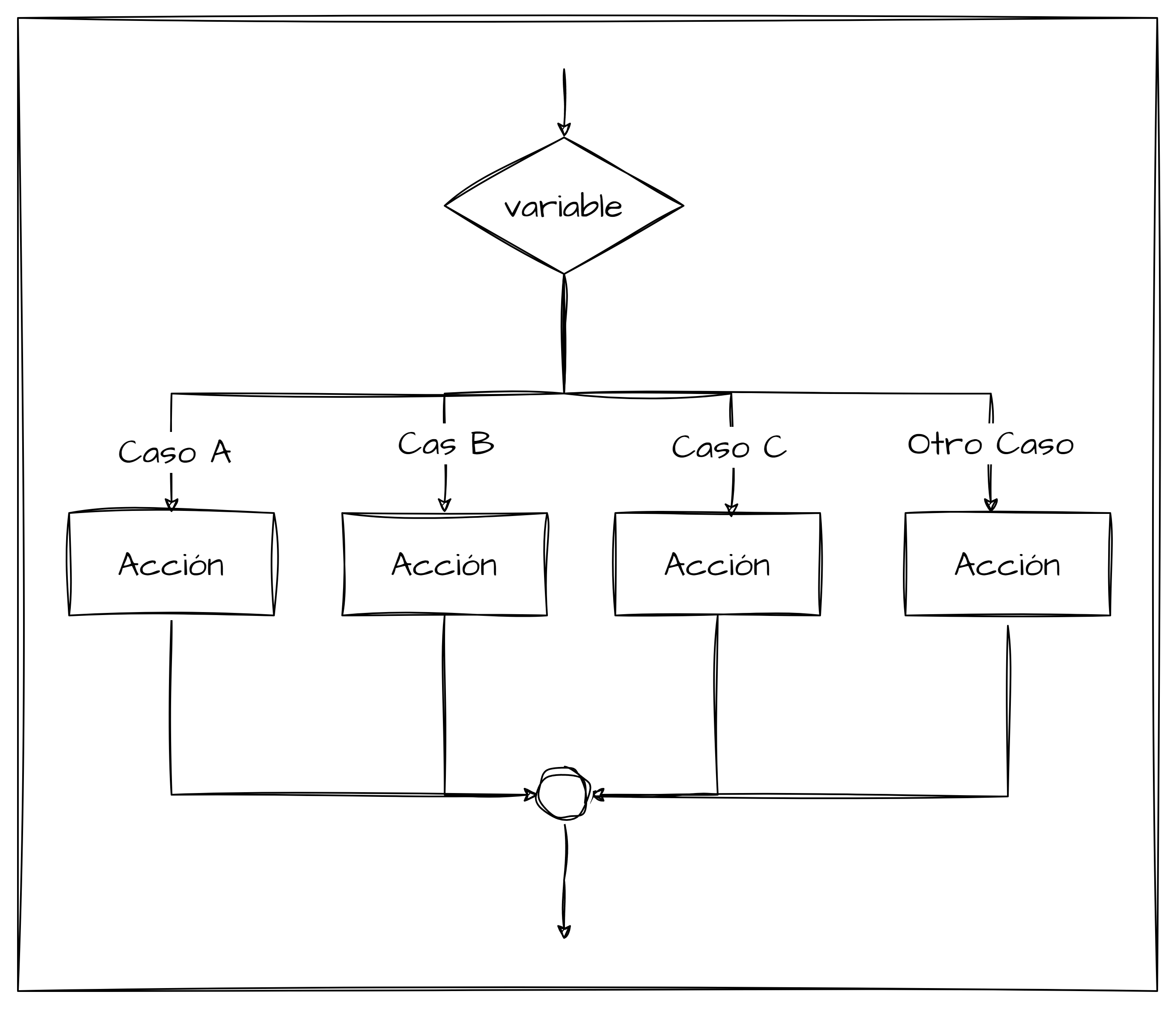
Diagrama de flujo

En el diagrama de flujo, la estructura de decisión switch
se representa con un rombo que contiene la variable o expresión a evaluar. Cada flecha que sale del rombo representa un caso posible, con una etiqueta que indica el valor asociado al caso. Si la expresión coincide con alguno de los valores especificados, se sigue la flecha correspondiente al caso. Si no se encuentra un valor coincidente, se sigue la flecha correspondiente a Otro Caso
.